历史上的今天
今天是:2025年04月25日(星期五)
2020年04月25日 | 湿度计原理_湿度计怎么看_湿度计计算
2020-04-25 来源:elecfans
测量气体湿度的物性分析仪器。湿度表示气体中的水蒸汽含量,有绝对湿度和相对湿度两种表示方法。绝对湿度指气体中水蒸汽的绝对含量,最常用的单位是克/米^3。在一定温度、压力时,单位体积内的水蒸汽含量有一定的限度,称为饱和水蒸汽含量。
相对湿度指气体中水蒸汽的绝对含量与同样温度、压力时同体积气体中饱和水蒸汽含量之比,常用符号为%R.H.。湿度计的用途很广,例如在超纯金属冶炼、纺织品加工、造纸和印染等生产过程以及食品储存和气象测量等方面,常需要用湿度计来测量或控制空气或工业流程气体的湿度。

湿度计原理
湿度计测量完全相对湿度的原理:由于湿泡温度计的感温泡包着棉纱,棉纱的下端浸在水中,水的蒸发而使湿泡温 度计的温度示数总是低于干泡温度计的温度示数(气温)这一温度差值跟水蒸发快慢(即当时的相对湿度)有关.根据两温度计的读数,从表或曲线上可查出空气的相对湿度。
湿度计怎么看
湿度计显示的并非度数而是百分比,我们正常生活的室内湿度应保持在%45-%70左右。湿球温度在测量时该温度计上棉纱水分蒸发会带走热量,使湿球温度计降温,这时干湿球温度计之间存在一个差值,根据一个专门的表格,通过查表得出此时的相对湿度。
延伸阅读——空气湿度
1 、绝对湿度:空气中水蒸气的压强 p 叫做空气的绝对湿度。
空气的湿度可以用空气中所含水蒸汽的密度,即单位体积的空气中所含水蒸汽的质量来表示。由于直接测量空气中水蒸气的密度比较困难,而水蒸气的压强随水蒸气密度的增大而增大,所以通常用空气中水蒸气的压强来表示空气的湿度,这就是空气的绝对湿度。
2 、相对湿度
( 1 )概念的引入:为了表示空气中水蒸气离饱和状态的远近而引入相对湿度的概念。
( 2 )相对湿度 B :某温度时空气的绝对湿度 p 跟同一温度下水的饱和汽压 ps 的百分比叫做这时空气的相对湿度
①不同温度下水的饱和汽压可以查表得到
②在绝对湿度 p 不变而降低温度时,由于水的饱和汽压减小而使空气的相对湿度增大。
③居室的相对湿度以 60 %~ 70 %较适宜。

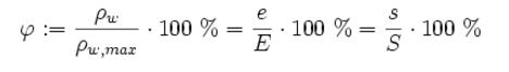
湿度计计算
湿度有相对湿度和绝对湿度,以下是小编汇总的两种湿度的计算公式:
相对湿度的公式:

其中的符号分别是:
ρw – 绝对湿度,单位是克/立方米
ρw,max – 最高湿度,单位是克/立方米
e – 蒸汽压,单位是帕斯卡
E – 饱和蒸汽压,单位是帕斯卡
s – 比湿,单位是克/千克
S – 最高比湿,单位是克/千克

绝对湿度的公式:

其中的符号分别是:
e–蒸汽压,单位是帕斯卡(Pa)
Rw–水的气体常数=461.52J/(kg K)
T–温度,单位是开尔文(K)
m–在空气中溶解的水的质量,单位是克(g)
V–空气的体积,单位是立方米(m3)

总结:空气的温度越高,它容纳水蒸气的能力就越高。虽然水蒸气可以与空气中的部分成分(比如悬浮的灰尘中的盐)进行化学反应,或者被多孔的粒子吸收,但这些过程或反应所占的比例非常小,相反的大多数水蒸气可以溶解在空气中。乾空气一般可以看作一种理想气体,但随着其中水汽成分的增高它的理想性越来越低。这时只有使用范德瓦耳斯方程才能描写它的性能。
理论上“空气中的水蒸气饱和”这个说法是不正确的,因为空气中的水蒸气的饱和度与空气的成分本身无关,而只与水蒸气的温度有关。在同一温度下真空中的水蒸气的饱和度与空气中的水蒸气的饱和度实际上是一样高的。但出于简化一般人们(甚至在科学界)使用“空气中溶解的水蒸气”或“空气中的水蒸气饱和”这样的词句。在这篇文章中我们也使用这些常用的词句。
假如饱和的空气的温度降低到露点以下和空气中有凝结核(比如雾剂)的话(在自然界一般总有凝结核存在),空气中的水就会凝结。云、窗户玻璃和其它冷的表面上的凝结水、露和雾、人在冷空气中哈出的汽等等许多现象就是这样形成的。偶尔(或在实验室中人工造成的)水蒸气可以在露点以下也不凝结。这个现象叫做过饱和。
空气中水蒸气的溶解量随温度不同而变化。一立方米空气可以在10摄氏度下溶解9.41克水,在30摄氏度下溶解30.38克水。
史海拾趣
|
路由器与交换机的主要区别体现在以下几个方面: (1)工作层次不同 最初的的交换机是工作在OSI/RM开放体系结构的数据链路层,也就是第二层,而路由器一开始就设计工作 ...… 查看全部问答> |
|
一、概述: 目前一些变频器设备生产的企业,在产品生产过程中要对产品的电源部分进行检测(比如电压值等)。原有的测试方式主要靠人工用测试仪器(万用表、示波器)来完成,工作效率低,而且一些人为的因素可能会导致一想不到的后果。为了更好的 ...… 查看全部问答> |
|
基于ARM7驱动ym12864r显示的问题请各位帮忙看看我的程序有什么问题 /****************************************Copyright (c)************************************************** **   ...… 查看全部问答> |
|
随着物联网技术、3G通讯技术、多媒体技术、机电控制技术的日趋成熟,基于相关技术的产品也备受消费者的欢迎,而与此同时掌握这些技术的嵌入式人才也变得越发紧缺。2010年4月,为了更加紧贴行业发展需求,给广大学员提供更实用、更丰富的项目实战案 ...… 查看全部问答> |
|
在nandflash上使用fat文件系统,应该是比较有挑战性的吧! 在nandflash上使用fat文件系统,应该也是可行的吧,只要可以完成逻辑地址到物理地址的转换算法,这个算法当然要考虑到坏块识别,垃圾收集,磨损均衡等等模块! 还有几个概念,想请大家给分析下, 1 nand flash是块擦除,页读写。 当一个页读/ ...… 查看全部问答> |
|
HINSTANCE hDll = NULL; //DLL句柄 typedef int(_stdcall* SETHOSTINFO)(wchar_t*, int, wchar_t*, wchar_t*, wchar_t*); SETHOSTINFO SetHost; hDll=LoadLibrary(L\"FtpDll.dll\"); ...… 查看全部问答> |
|
最近调stm32 的 I2C 程序。 采用中断方式, 顺便监控了一下I2C中断事件, 读EEPROM的时候,数据如下: 0x00030001 I2C_EVENT_MASTER_MODE_SELECT 0x00070082 I2C_EVENT_MASTER_TRANSMITTER_MODE_SELECTED 0x00070080 I2C_EVENT_MASTER_ ...… 查看全部问答> |
|
名单提交后,TI 没有通过,但 电子工程世界 仍然给我个 fr 5739,在此感谢 论坛 5月底,电子工程世界公示 提交名单,有我, 电子工程世界的大大 提醒我 ,要求我提供单位,提高TI的审核通过率 我没有在意,只回了 大大的邮件。 结果 6月初,电子工程世界公示 通过TI审核名单 没有我的名字。 有点郁闷。我的损失 ...… 查看全部问答> |




