技术文章:高清电视音频解码的定点DSP实现
2025-08-13 来源:elecfans
数字技术的高速发展使广播电视进入了由彩色电视向高清晰度电视( HDTV|0'>HDTV) 跨越的过渡时代,音/ 视频产品数字化、高清晰度化已成为未来家电视听产品的趋势. 高清电视音频解码方案有欧洲数字视频广播(DVB|0'>DVB) 标准采用的MPEG2 |0'>MPEG2 ( layer I ,layer II) 和美国A TSC 标准使用的Dolby AC23 两种. 其中DVB 标准被大多数国家接受,中国正在制定的数字电视标准同样是基于DVB 标准. 目前国内外许多公司都在从事高清电视及机顶盒芯片的研究,低成本高性能的芯片具有一定的竞争优势.音频解码是解码芯片的一部分. 作者通过对MPEG-2 多通道音频解码算法介绍及其优化,C 程序定点化,高性能媒体处理器DM642 简介, DSP/BIOS 实现实时音频解码和输出流程,完成了DVB标准的音频算法优化及DSP 移植.
1 DVB 音频算法及改进
DVB 音频是MPEG-2 音频解码标准的子集,它采用MUSICAM 算法进行压缩,利用给定的声音单元对位于临近频率较低声级的声音(或噪声) 有着遮蔽作用,对于听不见的声音单元不进行编码,这有利于在低数据率下进行音频编码. MPEG-2 支持多通道(5. 1 声道) 和采样率分别为16 ,22. 05 ,24kHz 的低采样率的扩展. 其中低采样率扩展只需对MPEG-1 的比特流和比特分配表进行很小的变动就可实现解码. MPEG-2 多通道扩展音频解码的帧结构见图1.

MPEG-2 音频帧由MPEG21 音频数据和多通道(MC) 音频数据组成,其中MPEG-2 附加的多声道数据放在MPEG21 的辅助数据区. 由于采用了与MPEG-1 相似的帧结构, MPEG-2 音频可以后向兼容MPEG-1 音频,即MPEG-1 音频解码器可以恢复MPEG-2 音频数据的两声道信息,而用MPEG-2解码器则可以解码完整的多通道音频数据.MPEG-2 音频解码流程如图2 所示. 其解码过程可分解为:帧分解,反量化,逆矩阵解码,子带综合滤波. 当输入比特流经过帧分解后,解码器将位分配信息、量化因子选择信息和音频样点送入反量化器恢复子带样点,子带样点经子带合成滤波器重建各声道的脉冲编码调制( PCM) 样点.

表1 是在DSP 平台上统计解码各步所占用的时间. 可以看出,数值计算主要集中在子带合成滤波,若采用MPEG-1 建议的算法流程[2 ] ,以两声道48 kHz 采样率为例,乘法运算量为(48 000/ 32) ×(64 ×32 + 512) ×2 = 7 680 000 次/ s. 因此,程序优化主要针对此步骤,并且对多声道音频,优化算法所减少的运算量与声道数成正比,因为子带合成滤波对于每个声道的样点是分别进行的.

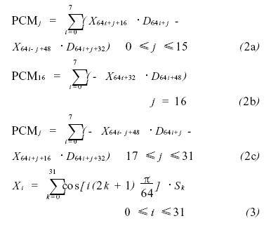
2 算法及存储优化
首先,利用合成窗系数的对称性
Di = - D512 - i i = 1 ,2 .255 (不包含64 ,128 ,192) (1)
对于特殊的点:D64 = D448 ; D128 = D384 ; D192 =D320 ; D0 = 0 ; D256 = 1.144 989 014因此只需要存储257 个点,就可以表示原来的512个点,窗系数存储量减少了一半.
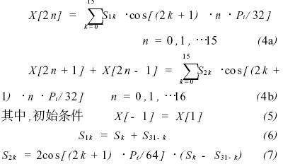
进一步对标准ISO/ IEC 11172-3附录B 的位分配表观察可知,表B2. b 是对表B2. a 的扩展,表B2. d 也是对表B2. c 的扩展,因此实际只需存储表B2. b 和B2. d ,设计读表法就可以访问4 张表格的数据,位分配表存储量也降低为原来的一半. 子带合成滤波流程见标准ISO/ IEC11172-3附录图A. 2 ,标准中规定的流程复杂,中间变量多.根据文献可以对标准里的合成子带滤波器流程简化:

其中:Di 为窗系数; Sk 为子带样点.
经过以上变换, 省略了中间变量U 和W . 且利用余弦函数性质,由32 点的Xi 代替64 点V i . 简化了子带合成滤波的步骤, 并使存储量减少到一半以上,为代码移植到DSP 节省了存储空间. 计算式(3) 时, 利用Byeong G. L EE 快速算法的改进算法将32 点DCT 进行分解:

重复这样的运算,可进一步分解为更少点数的DCT ,每分解一次,乘法运算和加法运算可减少一半. 以32 点DCT 为例, 乘法和加法运算分别为1 024次和992 次. 将其分解为两个16 点的DCT后,乘法和加法次数分别减少到529 和527 次. 考虑到定点DSP 的有限字长效应,实际只需分解一次,将32 点DCT 化成两个16 点的DCT. 简化子带滤波流程以及使用快速DCT 变换后,子带合成滤波部分的运算量减少了约60 %.
用C语言进行算法验证时,考虑到不同机器的通用性,对于解码后的PCM 样点分别采用不同的格式封装: 对于Intel 系列的机器,采用小端格式(Lit tle Endian) ,故解码后样点以wave 格式封装;对于Motorola , Macintosh 等机器,采用大端格式(Big Endian) ,因而解码后样点采用aiff 格式封装.这样解码后的音频就可直接用winamp 等软件进行播放,测试效果.
3 定点化程序及性能分析
实现解码时描述算法采用浮点程序,以确保精度,但速度慢. 为了在定点DSP 上实现解码,程序必须进行定点化,以有限精度实现. 定点化程序时,以浮点程序为模板,逐个将模块改造成定点. 每做完一个模块,将定点程序解码结果与浮点程序的解码结果进行比较,直到差值达到要求为止. 每个模块改造前,先估计本模块内数据动态范围,再决定采用何种精度. 其中余弦函数的定点运算通过查表法实现,即先把[ 0 ,π/ 2]间划分为212 个小格子,然后把弧度值映射到小格子上,通过查表
读取结果.为了对定点化程序进行测试,由式(8) 计算定点解码结果与浮点解码结果信噪比:

其中:PCMfix 为定点程序解码结果; PCMfloat 为浮点程序解码结果; 65 535. 0 为两个16 位PCM 样点之差的最大值.有的文献以∑PCM2float 为分子,这样算出来的结果与特定的码流有关,若码流PCM 样点值较大,计算出信噪比则较大. 而式(8) 不受具体码流的影响,客观地对不同码流作出评价对比. 定点程序分别经过男声、女声,小提琴声,海浪声和进行曲乐声等码流测试,SNR 都在74~78 dB 范围内,获得了较好的效果.
4 定点DSP 实现音频解码算法
TMS320DM642 是Ti 公司最新推出的一款针对多媒体处理领域的DSP ,它在C64x 的基础上,增加了许多外围设备和接口. 频率为600 MHz 的DM642 能够以30 帧的速度同时处理多达4 个分辨率为D1 (720 ×480) 的MPEG2 视频编码译码器. 此外,DM642 还能实时进行全面的Main-Profile-at-Main-Level (MP @ML) MPEG-2 视频编码,具有32MB 外部SDRAM、4 MB 闪存、组合视频输入/ 输出、S-视频输入/ 输出、V GA 输出端口以及支持媒体流的以太网端口.
将程序移植到DSP 上分两个阶段[6 ] : 第1 阶段,不考虑DSP 有关知识,根据DVP 改进算法编写C 程序,再在CCS 环境下调试C 程序,编译产生在C6000 内运行的代码,运用CCS 下的分析工具断点和profile 等,查找程序中运算量最大的部分,改进这部分代码性能;第2 阶段,使用DSP 提供的内联函数代替复杂的C 语言程序,使用数据打包技术,对短字长的数据使用宽长度访问,并通过消除冗余循环、循环展开等方法优化循环程序. 最后,利用DSP提供的汇编优化器,选定合适的优化选项进行编译,此步可通过线性汇编,在底层更好地利用资源.目标DSP 的乘法器为16 位×16 位,而程序中用到32 位×32 位乘法,结果为32 位. 因此采用3个16 位×16 位乘法代替,输出结果仍保留32 位.其方法为
Y32 = X132 ?X232 = X1low16 ?X2low16 + ( X1high16 ?X2low16 + X1low16 ?X2high16 ) n16 (9)
经过测试,该式计算对性能没有影响.
1) 输入控制
DSP 解码时,将待解压缩的mp3文件转化成dat 格式的文件,DSP 可直接将dat 格式的数据加载到片外存储器中. 具体方法为,先在程序中定义一个与mp3 文件相同大小的数组,然后将dat 文件放到数组首地址所指向的区域并指定数据长度. 由于mp3 文件大小为几兆,所以定义的数组长度超过bss 段最大偏移,需定义成far 型;也可以不用far 声明数组,而将编译方式改成大模式.大模式下bss 段的大小无任何限制,但编译器对变量使用寄存器间接寻址方式,这样需要3 条指令才能加载一个变量,故对变量存取速度很慢.
2) 输出控制:采用DSP 提供的实时操作系统
DSP/ BIOS 实现实时输出音频. 首先在DSP/ BIOS配置工具中建立TSK 对象,并与解码函数相对应,然后指定函数优先级,DSP/ BIOS 将自动进行任务调度和执行. 在配置工具中还需指定内存分配情况. DM642 中L2 cache 和片内存储器共用,可使用芯片支持库CSL 的API 函数分配cache 及片内存储器大小. 片内存储器的一部分作为子带滤波器申诸的动态空间.
调试时可以用LOG 对象显示解码进度, 以LOG_ printf 代替C 语言调试中的printf , 因为printf 不是DSP 中的指令,将占用大量的时钟周期,在对实时性要求很高的应用中根本无法满足要求. LOG_printf 语句可以满足实时要求. 先在DSP/BIOS 配置工具里建立一个LO G 对象,在Message窗口可实时观测程序进度,几乎不影响程序性能.DSP/ BIOS 提供两种数据传输模型,管道模型(pipe) 用于PIP 和HST 模块;流模型( st ream) 用于SIO 和DEV 模块. 管道支持底层的通信,而流支持高级的与设备无关的I/ O. 音频口输出时采用流模型,流和I/ O 设备交互的数据流向如图3 所示. 流模块(SIO) 使用驱动程序(由DEV 模块管理) 与这些设备交互. 控制输出前先进行初始化,即在DSP/BIOS 配置工具里定义一个User-Defined Devices对象, 再使用音频口初始化函数_EVMDM642 _EDMA_AIC23_init 对此对象进行初始化. 上层的API 函数即可对这个设备进行操作,通过结构体SIO_At t r s 设置设备特征.

图3 流和设备间的交互
解码输出过程为:首先使用SIO_create 产生一个指向设备的流. 流以异步方式进行I/ O 操作,定义两个指向输出流的缓冲区用以数据交换,数据输入和输出同时进行. 当应用程序正在处理当前缓冲区时,当前缓冲区被填满,前一个缓冲区的数据则输出. 在调用SIO_reclaim 时,交替使用这两个缓冲区进行数据交换, 每次返回其中一个缓冲区的地址. 将解码产生的音频数据送到此地址, 最后调用SIO_issue 将这个填满的缓冲区地址回送给流. 输出数据流向如图4 所示. 程序中流使用指针而不以数据拷贝,减小了应用程序的开销,使应用程序更容易满足实时性要求. 通过定义合适的缓冲区大小,D/ A 输出采样,音频数据即可实现实时输出.

图4 输出数据流向
5 结 语
DM642 作为Ti 推出的新一代媒体处理器,具有强大的信号处理能力,可以完成实时高清信源解码. 音频解码器经过算法优化和DSP 移植优化,算法的运行速度和存储量均有明显改善. 5. 1 声道音频实时解码需要50MIPS 的运算量,给高清电视信源解码中解复用和视频解码留下足够的资源. 本系统的实现对于设计高清电视信源解码芯片具有指导意义,DSP/ BIOS 的使用为进一步在DSP 上实现MPEG-4 视频和音频算法提供了有效的设计方法.该解码器也可以应用于数字音频广播(DAB) 接收机信源解码.
上一篇:网络化环境中的内容共享
下一篇:如何确保存储硬软件之间的兼容?
- 嵌入式的风向变了:2026纽伦堡嵌入式展透露这些趋势
- 高通确认不在GDC 2026发布新款骁龙G系列掌机处理器SoC
- 阿里达摩院发布玄铁C950,打破全球RISC-V CPU性能纪录
- 行业评论 从工具到平台:如何化解跨架构时代的工程开发和管理难题
- Mujoco中添加Apriltag标签并实现相机识别教程
- 面向嵌入式部署的神经网络优化:模型压缩深度解析
- 摩尔线程MTT S5000全面适配Qwen3.5三款新模型
- 英飞凌与宝马集团携手合作,基于Neue Klasse架构塑造软件定义汽车的未来
- 物理AI仿真新突破:摩尔线程与五一视界共建全栈国产化生态
- 爆火的OpenClaw! 告别云端,米尔RK3576开发板本地部署
- 中国芯片研发重要成果!中科院发布香山、如意系统
- Miniconda环境隔离教程:解决Python版本冲突的完整指南
- Jetson GPU Burn烤机测试与PTX编程详解
- LabelImg安装使用教程:YOLOv12训练数据标注完整指南
- 根据题意,水位上升记为正,下降记为负。汛期水位上升3分米(即0.3米)记作+3分米,此时达到最高水位12.5米,因此基准水位(记作0时的水位)为: 12.5米 - 0.3米 = 12.2米。 汛期过后水位下降4分米(即0.4米),是从最高水位下降,故实际水位为: 12.5米 - 0.4米 = 12.1米。 实际水位相对于基准水位的变化量为: 12.1米 - 12.2米 = -0
- YOLOv12训练实战:train.py常用参数详解
- Altera 与 Arm 深化合作,共筑 AI 数据中心高效可编程新方案
- 莱迪思加入英伟达 Halos生态系统,通过Holoscan传感器桥接技术提升物理人工智能安全性
- 芯科科技闪耀2026嵌入式世界展 以Connected Intelligence赋能,构建边缘智能网联新生态




