高压功率放大器在非共振式压电直线电机性能测试中的应用
2025-02-11 来源:elecfans
实验目的基于压电叠堆驱动的非共振式压电直线电机的性能测试,压电直线电机结构使用二级放大机构,对压电叠堆的输出位移进行放大,同时该结构采用交替驱动的方式以提高驱动器定子的驱动效率。使用方波信号作为激励信号,定子驱动足通过摩擦力驱动导轨运动,对该电机的输出性能进行测试,同时得到激励电机信号的最佳频率。

图:电机结构图
实验过程:
电机定子使用螺栓固定在底座上,通过千分尺对导轨施加预紧力。非共振式压电直线电机需要两相信号驱动电机定子工作,利用信号发生器,ATA-4051高压功率放大器,磁栅尺位移传感器搭建实验平台,用来测试电机的输出性能。使用信号发生器生成方波信号,通过功率放大器放大后驱动定子工作。使用磁栅尺传感器测量导轨的运动位移,采用半物理仿真系统对数据进行采集。

图:实验系统图
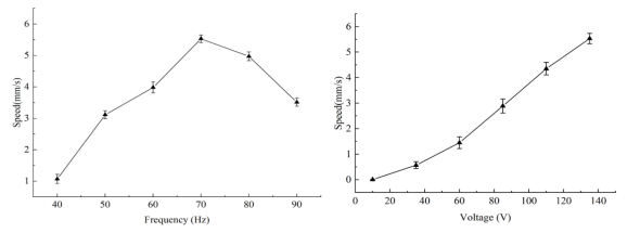
实验结果:
对压电叠堆施加135V电压,通过改变频率以得到不同频率下的电机输出性能,实验结果表明,电机在70Hz频率下性能达到最优,在60V电压之后具有良好的线性度,在135V电压下速度达到最大,为5.53mm/s,先比较于其他非共振式压电直线电机,具有更大的输出速度。

实验中用到的ATA-4051高压功率放大器的参数指标:

相关文章
- 嵌入式的风向变了:2026纽伦堡嵌入式展透露这些趋势
- 高通确认不在GDC 2026发布新款骁龙G系列掌机处理器SoC
- 行业评论 从工具到平台:如何化解跨架构时代的工程开发和管理难题
- 阿里达摩院发布玄铁C950,打破全球RISC-V CPU性能纪录
- 面向嵌入式部署的神经网络优化:模型压缩深度解析
- Mujoco中添加Apriltag标签并实现相机识别教程
- 摩尔线程MTT S5000全面适配Qwen3.5三款新模型
- 英飞凌与宝马集团携手合作,基于Neue Klasse架构塑造软件定义汽车的未来
- 物理AI仿真新突破:摩尔线程与五一视界共建全栈国产化生态
- 爆火的OpenClaw! 告别云端,米尔RK3576开发板本地部署
热门新闻
- Altera 与 Arm 深化合作,共筑 AI 数据中心高效可编程新方案
- 莱迪思加入英伟达 Halos生态系统,通过Holoscan传感器桥接技术提升物理人工智能安全性
- 芯科科技闪耀2026嵌入式世界展 以Connected Intelligence赋能,构建边缘智能网联新生态
- 边缘计算主机盒选购指南:五大核心指标解析
- Arm AGI CPU 更多细节:台积电 3nm 制程、Neoverse V3 微架构
- Arm AGI CPU 重磅发布:构筑代理式 AI 云时代的芯片基石
- Arm 拓展其计算平台矩阵,首次跨足芯片产品
- 阿里达摩院发布RISC-V CPU玄铁C950,首次原生支持千亿参数大模型
- 边缘 AI 加速的 Arm® Cortex® ‑M0+ MCU 如何为电子产品注入更强智能
最新频道文章




