CW32电机控制基础——无感BLDC的转子位置检测
2025-10-13 来源:elecfans
为获得转子当前位置,需要采用某种转子位置检测环节。在有位置传感器的系统中,转子位置的检测是通过一系列霍尔效应传感器来实现的,霍尔效应传感器能够感知转子永磁磁极的位置。霍尔换相控制已在CW32电机控制基础——无刷直流电机换相控制原理有讲解。但位置传感器的存在,增加了无刷直流电机的重量和结构尺寸,且不易安装和维护;同时,传感器的安装精度和灵敏度直接影响电机的运行性能;另外,霍尔传感器存在一定的磁不敏感区;其次,过多的传输线使系统易受干扰且可靠性降低;再次,在某些恶劣的工作环境中,常规的位置传感器根本就无法使用。因此,使用无感无刷直流电机控制,具有其一定的优势。
对于无位置传感器的直流无刷电机,必须通过一定的方法检测转子位置信息才能准确换相。反电动势法是其中最成熟和应用最广泛的位置检测方法。在六步换相控制中,每一个换相周期,将有一相绕组处于不导通状态,因此通过检测第三相反电动势信号可检测到转子磁极在该绕组经过的时刻。如图1所示。在AB绕组通电时,应检测C相反电动势电压。

图1 反电动势检测原理
1 无感BLDC换相
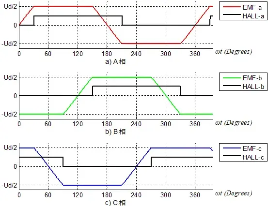
为方便分析,以120°霍尔式位置传感器为例,三相无刷直流电机反电势和传感器输出信号间相位关系见图2所示。

图2 BLDC反电势和传感器信号
如图2所示,当转子在0度电角度位置时,A相反电动势过零点,此时,再延30度时,HALL A传感器检测到边沿信号,此时需要换相,即:30度电角度时AB绕组通电,开始检测C相绕组反电动势;当转子位置在60度时,C相反电动势过零点,此时,再延30度时,HALL C传感器检测到边沿信号,此时需要换相,即:90度电角度时AC绕组通电,开始检测B相绕组反电动势。以此类推。反电动势的检测总在第三相未通电的绕组上进行。在检测到过零点时,需要再延时30度电角度进行换相。
因此,使用无感无刷直流电机控制,反电动势过零点的检测是关键。
2 传统反电动势法
无刷直流电机的数学模型方程如下式所示,



其中,Ua,Ub,Uc为三相端电压,为星形连接中性点电压,R和L为三相电枢绕组电阻和电感,是ea,eb,ec为三相反电动势,ia,ib,ic为三相绕组电流。
假设某一时刻,A相正向导通,B相负向导通,C相悬浮,电流从A相流进B相流出,如图3所示。则Ua=HV-VCE,Ub=VCE,ia=-ib,ic=0,其中,HV,VCE分别母线电压和功率管导通压降。将ia=-ib代入式1,并与式2相加,得式4。

图3 AB通电时等效电路

将Ua=HV-VCE,代入式4,可得式5。

将ic=0代入式3,得式6。

根据式6,在PWM导通期间,即AB绕组加电期间,在过零点时刻,C相端电压与中性能电压相等。因此,可以虚拟中性点作为参考电压,在端电压与参考电压相同时,发生过零点,如图4所示。考虑开关噪声对低频反电动势的影响,传统反电动势法需要对每相以及中性点进行电阻分压和阻容滤波,对反电动势进行实时采样。此法也称硬件比较过零点法,通过硬件比较器实现过零点检测。

图4 AB通电时等效电路
这种方法有很多不足之处:它需要创建一个虚拟中性点;滤波造成的相位偏移必须找到一个补偿值,而且相位偏移会随频率不同而不同,使得控制难以实现;电阻分压降低了被检测信号的灵敏度,低速检测困难,使系统可靠性降低;对不同的电机及速度范围,须重新设计反电动势检测电路参数。
3 全数字反电势法
随着嵌入式系统的发展,像CW32的MCU都具有AD触发采集功能。因此使用软件进行过零点比较,可省去许多硬件成本,降低系统的复杂性。此法也称软件比较过零点法。针对PWM占空比和调速范围的不同,可以不同时刻采集反电动势信号。根据AD采样时刻的不同,把反电动势检测的方法分三种:在功率开关管导通时刻采样、在功率开关管关断时刻采样和所有状态时刻采样。
以下介绍的反电动势法都基于上桥PWM斩波、下桥恒通的PWM单斩调制方式。
在功率开关管导通状态时采样:
根据式6所示,在过零点时刻,C相端电压与中性能电压相等。因些需要将中性能电压作为参考电压。
为得到100%的PWM占空比,就必须在功率开关管导通状态时对反电动势采样。为得到反电动势过零检测的参考电压,一种方法是同传统反电动势过零检测法一样,建立一个虚拟中性点;在硬件结构上,也同样需要电阻分压。除了建立虚拟中性点,还有一种更简单的方法可以得到反电动势过零检测的参考电压。
在AB导通期间,ea=-eb,根据式5得式7。

从图2中也可以看出,当母线电压供直流电,其中某两绕组通电时,中性点电压为母线电压的一半。
可见,要得到反电动势信号,可以选择参考值为HV/2的参考电压。它可以直接由母线直流分压得到或由微处理器采集运算得到。如图5所示。

图5 PWM导通时刻采样硬件原理
PWM导通时刻采样示意图如图6所示。一般在PWM导通之后延迟一定时间,再进行过零点信号采样。采样可以每PWM周期采集一次,也可以每PWM周期内ON时刻采集多次再进行滤波,具体采用方法,可以根据微处理器处理能力而定。

图6 PWM导通时刻采样示意
在PWM导通时刻采样,不必考虑相位偏移。但这种方法也有不足之处:由于电阻分压,使得反电动势过零点的检测灵敏度受影响;且由于在功率开关管导通时刻进行,所以必须有最小的功率开关管导通时间,使得低速难以保证。
在功率开关管关断状态时采样:
为分析中性点电压,现给换相电路中六个续流二极管定义为D1-D6,如图7所示。

图7 三相BLDC换相电路
由于续流二极管和线圈电感的作用,在下管恒导通时,AB相电流流向如图8所示。

图8 T1“OFF”时AB相电流流向
忽略二极管压降,加在A相电压为0。所以根据式7可得,中性点电压理想为为0,即地。
为提高系统检测的准确性,在微处理器内部可将比较的参考电压设为一较大于0的固定阀值,如0.2V。通过C相反电势的检测直接与该电压值比较,可得过零点时刻。
这种方法,不需要创建虚拟中性点,不需要电阻分压和阻容滤波,它完全克服了传统方法的缺陷。只需3个电阻分别将电机的三相连接到微处理器的三个输入引脚即可,具有无可比拟的优势。
如图9所示。图中显示了六步换相方式中单相的反电动势波形。在PWM OFF时,进行检测反电动,以得到与0值相等时为过零时刻。在T1-T2区间,该相反电动为增大过程,由负值增加到正值的过程中检测到过零点;而在T4-T5区间,该相反电动势由正值减到负值过程中检测到过零点。通过PWM OFF采集方法,可很方便地得到反电动势过零点。

图9 PWM OFF时刻反电动势采样
这种方式,集成度高,无须外加反电动势检测电路,最大限度降低成本;不需要分压,信号无衰减,可以得到反电动势的全部信号;反电动势在功率开关管判断时采样,因此抑制了高频开关干扰;灵敏度高,可以在很大的速度范围驱动电机,使电机在很低的速度运行且可以最大转矩起动;使用数字滤波器代替模拟滤波器,避免了滤波延时;提高了信噪比。
不足之处:当速度达到一定高度时,由于不同电机反电势参数不同,得到的反电动势电压不同,对于同一MCU其芯片参考电压为固定值,当反电动势高于参考电压时,需考虑MCU的承受能力;另外,此方法是在开关管关断时刻进行,所以必须保证最小的功率一关管判断时间,使得PWM占空比无法达到100%。
在功率开关管所态状态时刻采样:
这是一种集中了前两种方法优点的反电动势过零检测法,不仅保持了在功率率开关管关断状态结束时采样的高灵敏度,在低速时可以检测至低反电动势;而在功率开关管导通状态采样时,可以使电机在最大的速度运行以至达到100%的PWM占空比。这种方法可以满足不同的应用需求,具有更大的灵活性。

图10 PWM所有状态数字采样
在硬件上,由于需要在功率开关管导通状态采样,所以同样需要保持电阻分压的硬件结构。但,与在功率开关管导通时采样的反电动势过零检测法的不同之处,在于分压电阻不是直接接地,而是连接到MCU的I/O口,如图10所示。根据不同的PWM占空比和速度要求,选用不同的采样方法。当在功率开关管关断结束时采样,I/O口配置为悬浮输入(高阻),即不进行电阻分压;在功率开关管导通时采样时,I/O口配置为推拉输出(推挽),且输出为低,即是对采样信号进行分压。根据采样方法,由I/O口的配置来决定是否分压,容易实现。(IO控制是否让母线电压进行分压)。CW32MCU由于ADC性能足够,我们更倾向于在Ton时刻采集。所以在我们分享的DEMO中和一些实际案列,均未使用这个I/O控制的方法。
在实际应用中,可以根据PWM占空比和速度范围的要求选择合适的采样方法。
- 嵌入式的风向变了:2026纽伦堡嵌入式展透露这些趋势
- 高通确认不在GDC 2026发布新款骁龙G系列掌机处理器SoC
- 行业评论 从工具到平台:如何化解跨架构时代的工程开发和管理难题
- 面向嵌入式部署的神经网络优化:模型压缩深度解析
- 摩尔线程MTT S5000全面适配Qwen3.5三款新模型
- Mujoco中添加Apriltag标签并实现相机识别教程
- 英飞凌与宝马集团携手合作,基于Neue Klasse架构塑造软件定义汽车的未来
- 阿里达摩院发布玄铁C950,打破全球RISC-V CPU性能纪录
- 物理AI仿真新突破:摩尔线程与五一视界共建全栈国产化生态
- 爆火的OpenClaw! 告别云端,米尔RK3576开发板本地部署
- 边缘计算主机盒选购指南:五大核心指标解析
- Arm AGI CPU 更多细节:台积电 3nm 制程、Neoverse V3 微架构
- Arm AGI CPU 重磅发布:构筑代理式 AI 云时代的芯片基石
- Arm 拓展其计算平台矩阵,首次跨足芯片产品
- 阿里达摩院发布RISC-V CPU玄铁C950,首次原生支持千亿参数大模型
- 边缘 AI 加速的 Arm® Cortex® ‑M0+ MCU 如何为电子产品注入更强智能
- 阿里达摩院发布玄铁C950,打破全球RISC-V CPU性能纪录
- VPU中的“六边形战士”:安谋科技Arm China发布“玲珑”V560/V760 VPU IP
- 利用锚定可信平台模块(TPM)的FPGA构建人形机器人安全




