CW32电机控制基础——无刷直流电机的数学模型
2025-10-13 来源:elecfans
无刷直流电机绕组中的感应电动势与电机转速匝数成正比,电枢绕组串联公式为

其中,E是无刷直流电机电枢感应线电动势(V);p为电机的极对数,α为极弧系数;W为电枢绕组每相串联的匝数;ф为每极磁通;n为转速(r/min);
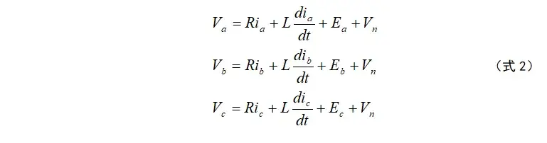
假定电机定子三相完全对称,空间上互差120°电角度;三相绕组电阻、电感参数完全相同;转子永磁体产生的气隙磁场为方波,三相绕组反电动势为梯形波;忽略定子绕组电枢反应的影响;电机气隙磁导均匀,磁路不饱和,不计涡流损耗;电枢、绕组间互感忽略。无刷直流电机的数学模型方程如式2所示,

其中,Va,Vb,Vc和Vn 分别为三相端电压和中点电压,R和L为三相电枢绕组电阻和电感,Ea,Eb,Ec为三相反电动势
相关文章
- 嵌入式的风向变了:2026纽伦堡嵌入式展透露这些趋势
- 高通确认不在GDC 2026发布新款骁龙G系列掌机处理器SoC
- 行业评论 从工具到平台:如何化解跨架构时代的工程开发和管理难题
- 阿里达摩院发布玄铁C950,打破全球RISC-V CPU性能纪录
- 面向嵌入式部署的神经网络优化:模型压缩深度解析
- Mujoco中添加Apriltag标签并实现相机识别教程
- 摩尔线程MTT S5000全面适配Qwen3.5三款新模型
- 英飞凌与宝马集团携手合作,基于Neue Klasse架构塑造软件定义汽车的未来
- 物理AI仿真新突破:摩尔线程与五一视界共建全栈国产化生态
- 爆火的OpenClaw! 告别云端,米尔RK3576开发板本地部署
热门新闻
- Altera 与 Arm 深化合作,共筑 AI 数据中心高效可编程新方案
- 莱迪思加入英伟达 Halos生态系统,通过Holoscan传感器桥接技术提升物理人工智能安全性
- 芯科科技闪耀2026嵌入式世界展 以Connected Intelligence赋能,构建边缘智能网联新生态
- 边缘计算主机盒选购指南:五大核心指标解析
- Arm AGI CPU 更多细节:台积电 3nm 制程、Neoverse V3 微架构
- Arm AGI CPU 重磅发布:构筑代理式 AI 云时代的芯片基石
- Arm 拓展其计算平台矩阵,首次跨足芯片产品
- 阿里达摩院发布RISC-V CPU玄铁C950,首次原生支持千亿参数大模型
- 边缘 AI 加速的 Arm® Cortex® ‑M0+ MCU 如何为电子产品注入更强智能
最新频道文章




